| Specific resistanceConductor ampacity rating is a crude 
                    assessment of resistance based on the potential for current 
                    to create a fire hazard. However, we may come across 
                    situations where the voltage drop created by wire resistance 
                    in a circuit poses concerns other than fire avoidance. For 
                    instance, we may be designing a circuit where voltage across 
                    a component is critical, and must not fall below a certain 
                    limit. If this is the case, the voltage drops resulting from 
                    wire resistance may cause an engineering problem while being 
                    well within safe (fire) limits of ampacity:  
                      If the load in the above circuit will not 
                    tolerate less than 220 volts, given a source voltage of 230 
                    volts, then we'd better be sure that the wiring doesn't drop 
                    more than 10 volts along the way. Counting both the supply 
                    and return conductors of this circuit, this leaves a maximum 
                    tolerable drop of 5 volts along the length of each wire. 
                    Using Ohm's Law (R=E/I), we can determine the maximum 
                    allowable resistance for each piece of wire:  
                      We know that the wire length is 2300 feet 
                    for each piece of wire, but how do we determine the amount 
                    of resistance for a specific size and length of wire? To do 
                    that, we need another formula:  
                      This formula relates the resistance of a 
                    conductor with its specific resistance (the Greek letter "rho" 
                    (ρ), which looks similar to a lower-case letter "p"), its 
                    length ("l"), and its cross-sectional area ("A"). Notice 
                    that with the length variable on the top of the fraction, 
                    the resistance value increases as the length increases 
                    (analogy: it is more difficult to force liquid through a 
                    long pipe than a short one), and decreases as 
                    cross-sectional area increases (analogy: liquid flows easier 
                    through a fat pipe than through a skinny one). Specific 
                    resistance is a constant for the type of conductor material 
                    being calculated.  The specific resistances of several 
                    conductive materials can be found in the following table. We 
                    find copper near the bottom of the table, second only to 
                    silver in having low specific resistance (good 
                    conductivity):  SPECIFIC RESISTANCE AT 20 DEGREES CELSIUS  Material     Element/Alloy       (ohm-cmil/ft)    (microohm-cm)  
===============================================================
Nichrome ------ Alloy --------------- 675 ----------- 112.2 
Nichrome V ---- Alloy --------------- 650 ----------- 108.1 
Manganin ------ Alloy --------------- 290 ----------- 48.21 
Constantan ---- Alloy --------------- 272.97 -------- 45.38 
Steel* -------- Alloy --------------- 100 ----------- 16.62 
Platinum ----- Element -------------- 63.16 --------- 10.5  
Iron --------- Element -------------- 57.81 --------- 9.61  
Nickel ------- Element -------------- 41.69 --------- 6.93  
Zinc --------- Element -------------- 35.49 --------- 5.90  
Molybdenum --- Element -------------- 32.12 --------- 5.34  
Tungsten ----- Element -------------- 31.76 --------- 5.28  
Aluminum ----- Element -------------- 15.94 --------- 2.650 
Gold --------- Element -------------- 13.32 --------- 2.214 
Copper ------- Element -------------- 10.09 --------- 1.678 
Silver ------- Element -------------- 9.546 --------- 1.587  * = Steel alloy at 99.5 percent iron, 0.5 percent carbon          
 Notice that the figures for specific 
                    resistance in the above table are given in the very strange 
                    unit of "ohms-cmil/ft" (Ω-cmil/ft), This unit indicates what 
                    units we are expected to use in the resistance formula (R=ρl/A). 
                    In this case, these figures for specific resistance are 
                    intended to be used when length is measured in feet and 
                    cross-sectional area is measured in circular mils.  The metric unit for specific resistance is 
                    the ohm-meter (Ω-m), or ohm-centimeter (Ω-cm), with 1.66243 
                    x 10-9 Ω-meters per Ω-cmil/ft (1.66243 x 10-7 
                    Ω-cm per Ω-cmil/ft). In the Ω-cm column of the table, the 
                    figures are actually scaled as �Ω-cm due to their very small 
                    magnitudes. For example, iron is listed as 9.61 �Ω-cm, which 
                    could be represented as 9.61 x 10-6 Ω-cm.  When using the unit of Ω-meter for specific 
                    resistance in the R=ρl/A formula, the length needs to be in 
                    meters and the area in square meters. When using the unit of 
                    Ω-centimeter (Ω-cm) in the same formula, the length needs to 
                    be in centimeters and the area in square centimeters.  All these units for specific resistance are 
                    valid for any material (Ω-cmil/ft, Ω-m, or Ω-cm). One might 
                    prefer to use Ω-cmil/ft, however, when dealing with round 
                    wire where the cross-sectional area is already known in 
                    circular mils. Conversely, when dealing with odd-shaped 
                    busbar or custom busbar cut out of metal stock, where only 
                    the linear dimensions of length, width, and height are 
                    known, the specific resistance units of Ω-meter or Ω-cm may 
                    be more appropriate.  Going back to our example circuit, we were 
                    looking for wire that had 0.2 Ω or less of resistance over a 
                    length of 2300 feet. Assuming that we're going to use copper 
                    wire (the most common type of electrical wire manufactured), 
                    we can set up our formula as such:  
                      Algebraically solving for A, we get a value 
                    of 116,035 circular mils. Referencing our solid wire size 
                    table, we find that "double-ought" (2/0) wire with 133,100 
                    cmils is adequate, whereas the next lower size, 
                    "single-ought" (1/0), at 105,500 cmils is too small. Bear in 
                    mind that our circuit current is a modest 25 amps. According 
                    to our ampacity table for copper wire in free air, 14 gauge 
                    wire would have sufficed (as far as not starting a 
                    fire is concerned). However, from the standpoint of voltage 
                    drop, 14 gauge wire would have been very unacceptable.  Just for fun, let's see what 14 gauge wire 
                    would have done to our power circuit's performance. Looking 
                    at our wire size table, we find that 14 gauge wire has a 
                    cross-sectional area of 4,107 circular mils. If we're still 
                    using copper as a wire material (a good choice, unless we're
                    really rich and can afford 4600 feet of 14 gauge 
                    silver wire!), then our specific resistance will still be 
                    10.09 Ω-cmil/ft:  
                      Remember that this is 5.651 Ω per 2300 feet 
                    of 14-gauge copper wire, and that we have two runs of 2300 
                    feet in the entire circuit, so each wire piece in the 
                    circuit has 5.651 Ω of resistance:  
                      Our total circuit wire resistance is 2 times 
                    5.651, or 11.301 Ω. Unfortunately, this is far too 
                    much resistance to allow 25 amps of current with a source 
                    voltage of 230 volts. Even if our load resistance was 0 Ω, 
                    our wiring resistance of 11.301 Ω would restrict the circuit 
                    current to a mere 20.352 amps! As you can see, a "small" 
                    amount of wire resistance can make a big difference in 
                    circuit performance, especially in power circuits where the 
                    currents are much higher than typically encountered in 
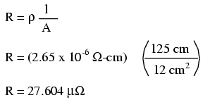
                    electronic circuits.  Let's do an example resistance problem for a 
                    piece of custom-cut busbar. Suppose we have a piece of solid 
                    aluminum bar, 4 centimeters wide by 3 centimeters tall by 
                    125 centimeters long, and we wish to figure the end-to-end 
                    resistance along the long dimension (125 cm). First, we 
                    would need to determine the cross-sectional area of the bar:
                     
                      We also need to know the specific resistance 
                    of aluminum, in the unit proper for this application (Ω-cm). 
                    From our table of specific resistances, we see that this is 
                    2.65 x 10-6 Ω-cm. Setting up our R=ρl/A formula, 
                    we have:  
                      As you can see, the sheer thickness of a 
                    busbar makes for very low resistances compared to 
                    that of standard wire sizes, even when using a material with 
                    a greater specific resistance.  The procedure for determining busbar 
                    resistance is not fundamentally different than for 
                    determining round wire resistance. We just need to make sure 
                    that cross-sectional area is calculated properly and that 
                    all the units correspond to each other as they should.  
                      
                      REVIEW: 
                      Conductor resistance increases with 
                      increased length and decreases with increased 
                      cross-sectional area, all other factors being equal. 
                      Specific Resistance ("ρ") is a 
                      property of any conductive material, a figure used to 
                      determine the end-to-end resistance of a conductor given 
                      length and area in this formula: R = ρl/A 
                      Specific resistance for materials are 
                      given in units of Ω-cmil/ft or Ω-meters (metric). 
                      Conversion factor between these two units is 1.66243 x 10-9 
                      Ω-meters per Ω-cmil/ft, or 1.66243 x 10-7 Ω-cm 
                      per Ω-cmil/ft. 
                      If wiring voltage drop in a circuit is 
                      critical, exact resistance calculations for the wires must 
                      be made before wire size is chosen.  |