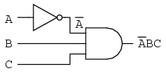
| A mathematician named DeMorgan developed a pair 
    of important rules regarding group complementation in Boolean algebra. By 
    group complementation, I'm referring to the complement of a group of 
    terms, represented by a long bar over more than one variable.
     You should recall from the chapter on logic gates that inverting all 
    inputs to a gate reverses that gate's essential function from AND to OR, or 
    visa-versa, and also inverts the output. So, an OR gate with all inputs 
    inverted (a Negative-OR gate) behaves the same as a NAND gate, and an AND 
    gate with all inputs inverted (a Negative-AND gate) behaves the same as a 
    NOR gate. DeMorgan's theorems state the same equivalence in "backward" form: 
    that inverting the output of any gate results in the same function as the 
    opposite type of gate (AND vs. OR) with inverted inputs:  
      A long bar extending over the term AB acts as a grouping symbol, and as 
    such is entirely different from the product of A and B independently 
    inverted. In other words, (AB)' is not equal to A'B'. Because the "prime" 
    symbol (') cannot be stretched over two variables like a bar can, we are 
    forced to use parentheses to make it apply to the whole term AB in the 
    previous sentence. A bar, however, acts as its own grouping symbol when 
    stretched over more than one variable. This has profound impact on how 
    Boolean expressions are evaluated and reduced, as we shall see.  DeMorgan's theorem may be thought of in terms of breaking a long 
    bar symbol. When a long bar is broken, the operation directly underneath the 
    break changes from addition to multiplication, or visa-versa, and the broken 
    bar pieces remain over the individual variables. To illustrate:  
      When multiple "layers" of bars exist in an expression, you may only break
    one bar at a time, and it is generally easier to begin simplification 
    by breaking the longest (uppermost) bar first. To illustrate, let's take the 
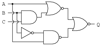
    expression (A + (BC)')' and reduce it using DeMorgan's Theorems:  
      Following the advice of breaking the longest (uppermost) bar first, I'll 
    begin by breaking the bar covering the entire expression as a first step:
     
      As a result, the original circuit is reduced to a three-input AND gate 
    with the A input inverted:  
      You should never break more than one bar in a single step, as 
    illustrated here:  
      As tempting as it may be to conserve steps and break more than one bar at 
    a time, it often leads to an incorrect result, so don't do it!  It is possible to properly reduce this expression by breaking the short 
    bar first, rather than the long bar first:  
      The end result is the same, but more steps are required compared to using 
    the first method, where the longest bar was broken first. Note how in the 
    third step we broke the long bar in two places. This is a legitimate 
    mathematical operation, and not the same as breaking two bars in one step! 
    The prohibition against breaking more than one bar in one step is not 
    a prohibition against breaking a bar in more than one place. Breaking in 
    more than one place in a single step is okay; breaking more than one
    bar in a single step is not.  You might be wondering why parentheses were placed around the 
    sub-expression B' + C', considering the fact that I just removed them in the 
    next step. I did this to emphasize an important but easily neglected aspect 
    of DeMorgan's theorem. Since a long bar functions as a grouping symbol, the 
    variables formerly grouped by a broken bar must remain grouped lest proper 
    precedence (order of operation) be lost. In this example, it really wouldn't 
    matter if I forgot to put parentheses in after breaking the short bar, but 
    in other cases it might. Consider this example, starting with a different 
    expression:  
      
      As you can see, maintaining the grouping implied by the complementation 
    bars for this expression is crucial to obtaining the correct answer.  Let's apply the principles of DeMorgan's theorems to the simplification 
    of a gate circuit:  
      As always, our first step in simplifying this circuit must be to generate 
    an equivalent Boolean expression. We can do this by placing a sub-expression 
    label at the output of each gate, as the inputs become known. Here's the 
    first step in this process:  
      Next, we can label the outputs of the first NOR gate and the NAND gate. 
    When dealing with inverted-output gates, I find it easier to write an 
    expression for the gate's output without the final inversion, with an 
    arrow pointing to just before the inversion bubble. Then, at the wire 
    leading out of the gate (after the bubble), I write the full, complemented 
    expression. This helps ensure I don't forget a complementing bar in the 
    sub-expression, by forcing myself to split the expression-writing task into 
    two steps:  
      Finally, we write an expression (or pair of expressions) for the last NOR 
    gate:  
      Now, we reduce this expression using the identities, properties, rules, 
    and theorems (DeMorgan's) of Boolean algebra:  
      The equivalent gate circuit for this much-simplified expression is as 
    follows:  
      
      REVIEW DeMorgan's Theorems describe the equivalence between gates with 
      inverted inputs and gates with inverted outputs. Simply put, a NAND gate 
      is equivalent to a Negative-OR gate, and a NOR gate is equivalent to a 
      Negative-AND gate. When "breaking" a complementation bar in a Boolean expression, the 
      operation directly underneath the break (addition or multiplication) 
      reverses, and the broken bar pieces remain over the respective terms. It is often easier to approach a problem by breaking the longest 
      (uppermost) bar before breaking any bars under it. You must never 
      attempt to break two bars in one step! Complementation bars function as grouping symbols. Therefore, when a 
      bar is broken, the terms underneath it must remain grouped. Parentheses 
      may be placed around these grouped terms as a help to avoid changing 
      precedence.  |