| ResistorsBecause the relationship between voltage, 
                    current, and resistance in any circuit is so regular, we can 
                    reliably control any variable in a circuit simply by 
                    controlling the other two. Perhaps the easiest variable in 
                    any circuit to control is its resistance. This can be done 
                    by changing the material, size, and shape of its conductive 
                    components (remember how the thin metal filament of a lamp 
                    created more electrical resistance than a thick wire?).  Special components called resistors 
                    are made for the express purpose of creating a precise 
                    quantity of resistance for insertion into a circuit. They 
                    are typically constructed of metal wire or carbon, and 
                    engineered to maintain a stable resistance value over a wide 
                    range of environmental conditions. Unlike lamps, they do not 
                    produce light, but they do produce heat as electric power is 
                    dissipated by them in a working circuit. Typically, though, 
                    the purpose of a resistor is not to produce usable heat, but 
                    simply to provide a precise quantity of electrical 
                    resistance.  The most common schematic symbol for a 
                    resistor is a zig-zag line:  
                      Resistor values in ohms are usually shown as 
                    an adjacent number, and if several resistors are present in 
                    a circuit, they will be labeled with a unique identifier 
                    number such as R1, R2, R3, 
                    etc. As you can see, resistor symbols can be shown either 
                    horizontally or vertically:  
                      Real resistors look nothing like the zig-zag 
                    symbol. Instead, they look like small tubes or cylinders 
                    with two wires protruding for connection to a circuit. Here 
                    is a sampling of different kinds and sizes of resistors:   
 In keeping more with their physical 
                    appearance, an alternative schematic symbol for a resistor 
                    looks like a small, rectangular box:  
                      Resistors can also be shown to have varying 
                    rather than fixed resistances. This might be for the purpose 
                    of describing an actual physical device designed for the 
                    purpose of providing an adjustable resistance, or it could 
                    be to show some component that just happens to have an 
                    unstable resistance:  
                      In fact, any time you see a component symbol 
                    drawn with a diagonal arrow through it, that component has a 
                    variable rather than a fixed value. This symbol "modifier" 
                    (the diagonal arrow) is standard electronic symbol 
                    convention.  Variable resistors must have some physical 
                    means of adjustment, either a rotating shaft or lever that 
                    can be moved to vary the amount of electrical resistance. 
                    Here is a photograph showing some devices called 
                    potentiometers, which can be used as variable resistors:
                      
 Because resistors dissipate heat energy as 
                    the electric currents through them overcome the "friction" 
                    of their resistance, resistors are also rated in terms of 
                    how much heat energy they can dissipate without overheating 
                    and sustaining damage. Naturally, this power rating is 
                    specified in the physical unit of "watts." Most resistors 
                    found in small electronic devices such as portable radios 
                    are rated at 1/4 (0.25) watt or less. The power rating of 
                    any resistor is roughly proportional to its physical size. 
                    Note in the first resistor photograph how the power ratings 
                    relate with size: the bigger the resistor, the higher its 
                    power dissipation rating. Also note how resistances (in 
                    ohms) have nothing to do with size!  Although it may seem pointless now to have a 
                    device doing nothing but resisting electric current, 
                    resistors are extremely useful devices in circuits. Because 
                    they are simple and so commonly used throughout the world of 
                    electricity and electronics, we'll spend a considerable 
                    amount of time analyzing circuits composed of nothing but 
                    resistors and batteries.  For a practical illustration of resistors' 
                    usefulness, examine the photograph below. It is a picture of 
                    a printed circuit board, or PCB: an assembly 
                    made of sandwiched layers of insulating phenolic fiber-board 
                    and conductive copper strips, into which components may be 
                    inserted and secured by a low-temperature welding process 
                    called "soldering." The various components on this circuit 
                    board are identified by printed labels. Resistors are 
                    denoted by any label beginning with the letter "R".   
 This particular circuit board is a computer 
                    accessory called a "modem," which allows digital information 
                    transfer over telephone lines. There are at least a dozen 
                    resistors (all rated at 1/4 watt power dissipation) that can 
                    be seen on this modem's board. Every one of the black 
                    rectangles (called "integrated circuits" or "chips") contain 
                    their own array of resistors for their internal functions, 
                    as well.  Another circuit board example shows 
                    resistors packaged in even smaller units, called "surface 
                    mount devices." This particular circuit board is the 
                    underside of a personal computer hard disk drive, and once 
                    again the resistors soldered onto it are designated with 
                    labels beginning with the letter "R":   
 There are over one hundred surface-mount 
                    resistors on this circuit board, and this count of course 
                    does not include the number of resistors internal to the 
                    black "chips." These two photographs should convince anyone 
                    that resistors -- devices that "merely" oppose the flow of 
                    electrons -- are very important components in the realm of 
                    electronics!  In schematic diagrams, resistor symbols are 
                    sometimes used to illustrate any general type of device in a 
                    circuit doing something useful with electrical energy. Any 
                    non-specific electrical device is generally called a load, 
                    so if you see a schematic diagram showing a resistor symbol 
                    labeled "load," especially in a tutorial circuit diagram 
                    explaining some concept unrelated to the actual use of 
                    electrical power, that symbol may just be a kind of 
                    shorthand representation of something else more practical 
                    than a resistor.  To summarize what we've learned in this 
                    lesson, let's analyze the following circuit, determining all 
                    that we can from the information given:  
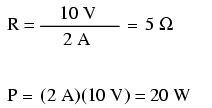
                      All we've been given here to start with is 
                    the battery voltage (10 volts) and the circuit current (2 
                    amps). We don't know the resistor's resistance in ohms or 
                    the power dissipated by it in watts. Surveying our array of 
                    Ohm's Law equations, we find two equations that give us 
                    answers from known quantities of voltage and current:  
                      Inserting the known quantities of voltage 
                    (E) and current (I) into these two equations, we can 
                    determine circuit resistance (R) and power dissipation (P):
                     
                      For the circuit conditions of 10 volts and 2 
                    amps, the resistor's resistance must be 5 Ω. If we were 
                    designing a circuit to operate at these values, we would 
                    have to specify a resistor with a minimum power rating of 20 
                    watts, or else it would overheat and fail.  
                      
                      REVIEW: 
                      Devices called resistors are built 
                      to provide precise amounts of resistance in electric 
                      circuits. Resistors are rated both in terms of their 
                      resistance (ohms) and their ability to dissipate heat 
                      energy (watts). 
                      Resistor resistance ratings cannot be 
                      determined from the physical size of the resistor(s) in 
                      question, although approximate power ratings can. The 
                      larger the resistor is, the more power it can safely 
                      dissipate without suffering damage. 
                      Any device that performs some useful task 
                      with electric power is generally known as a load. 
                      Sometimes resistor symbols are used in schematic diagrams 
                      to designate a non-specific load, rather than an actual 
                      resistor.  |