| AC voltmeters and ammetersAC electromechanical meter movements come in 
                    two basic arrangements: those based on DC movement designs, 
                    and those engineered specifically for AC use. 
                    Permanent-magnet moving coil (PMMC) meter movements will not 
                    work correctly if directly connected to alternating current, 
                    because the direction of needle movement will change with 
                    each half-cycle of the AC. Permanent-magnet meter movements, 
                    like permanent-magnet motors, are devices whose motion 
                    depends on the polarity of the applied voltage (or, you can 
                    think of it in terms of the direction of the current).  
                      In order to use a DC-style meter movement 
                    such as the D'Arsonval design, the alternating current must 
                    be rectified into DC. This is most easily 
                    accomplished through the use of devices called diodes. 
                    We saw diodes used in an example circuit demonstrating the 
                    creation of harmonic frequencies from a distorted (or 
                    rectified) sine wave. Without going into elaborate detail 
                    over how and why diodes work as they do, just remember that 
                    they each act like a one-way valve for electrons to flow: 
                    acting as a conductor for one polarity and an insulator for 
                    another. Oddly enough, the arrowhead in each diode symbol 
                    points against the permitted direction of electron 
                    flow rather than with it as one might expect. Arranged in a 
                    bridge, four diodes will serve to steer AC through the meter 
                    movement in a constant direction throughout all portions of 
                    the AC cycle:  
                      Another strategy for a practical AC meter 
                    movement is to redesign the movement without the inherent 
                    polarity sensitivity of the DC types. This means avoiding 
                    the use of permanent magnets. Probably the simplest design 
                    is to use a nonmagnetized iron vane to move the needle 
                    against spring tension, the vane being attracted toward a 
                    stationary coil of wire energized by the AC quantity to be 
                    measured.  
                      Electrostatic attraction between two metal 
                    plates separated by an air gap is an alternative mechanism 
                    for generating a needle-moving force proportional to applied 
                    voltage. This works just as well for AC as it does for DC, 
                    or should I say, just as poorly! The forces involved are 
                    very small, much smaller than the magnetic attraction 
                    between an energized coil and an iron vane, and as such 
                    these "electrostatic" meter movements tend to be fragile and 
                    easily disturbed by physical movement. But, for some 
                    high-voltage AC applications, the electrostatic movement is 
                    an elegant technology. If nothing else, this technology 
                    possesses the advantage of extremely high input impedance, 
                    meaning that no current need be drawn from the circuit under 
                    test. Also, electrostatic meter movements are capable of 
                    measuring very high voltages without need for range 
                    resistors or other, external apparatus.  When a sensitive meter movement needs to be 
                    re-ranged to function as an AC voltmeter, series-connected 
                    "multiplier" resistors and/or resistive voltage dividers may 
                    be employed just as in DC meter design:  
                      Capacitors may be used instead of resistors, 
                    though, to make voltmeter divider circuits. This strategy 
                    has the advantage of being non-dissipative (no true power 
                    consumed and no heat produced):  
                      If the meter movement is electrostatic, and 
                    thus inherently capacitive in nature, a single "multiplier" 
                    capacitor may be connected in series to give it a greater 
                    voltage measuring range, just as a series-connected 
                    multiplier resistor gives a moving-coil (inherently 
                    resistive) meter movement a greater voltage range:  
                      The Cathode Ray Tube (CRT) mentioned in the 
                    DC metering chapter is ideally suited for measuring AC 
                    voltages, especially if the electron beam is swept 
                    side-to-side across the screen of the tube while the 
                    measured AC voltage drives the beam up and down. A graphical 
                    representation of the AC wave shape and not just a 
                    measurement of magnitude can easily be had with such a 
                    device. However, CRT's have the disadvantages of weight, 
                    size, significant power consumption, and fragility (being 
                    made of evacuated glass) working against them. For these 
                    reasons, electromechanical AC meter movements still have a 
                    place in practical usage.  With some of the advantages and 
                    disadvantages of these meter movement technologies having 
                    been discussed already, there is another factor crucially 
                    important for the designer and user of AC metering 
                    instruments to be aware of. This is the issue of RMS 
                    measurement. As we already know, AC measurements are often 
                    cast in a scale of DC power equivalence, called RMS (Root-Mean-Square) 
                    for the sake of meaningful comparisons with DC and with 
                    other AC waveforms of varying shape. None of the meter 
                    movement technologies so far discussed inherently measure 
                    the RMS value of an AC quantity. Meter movements relying on 
                    the motion of a mechanical needle ("rectified" D'Arsonval, 
                    iron-vane, and electrostatic) all tend to mechanically 
                    average the instantaneous values into an overall average 
                    value for the waveform. This average value is not 
                    necessarily the same as RMS, although many times it is 
                    mistaken as such. Average and RMS values rate against each 
                    other as such for these three common waveform shapes:  
                      Since RMS seems to be the kind of 
                    measurement most people are interested in obtaining with an 
                    instrument, and electromechanical meter movements naturally 
                    deliver average measurements rather than RMS, what 
                    are AC meter designers to do? Cheat, of course! Typically 
                    the assumption is made that the waveform shape to be 
                    measured is going to be sine (by far the most common, 
                    especially for power systems), and then the meter movement 
                    scale is altered by the appropriate multiplication factor. 
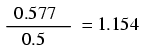
                    For sine waves we see that RMS is equal to 0.707 times the 
                    peak value while Average is 0.637 times the peak, so we can 
                    divide one figure by the other to obtain an average-to-RMS 
                    conversion factor of 1.109:  
                      In other words, the meter movement will be 
                    calibrated to indicate approximately 1.11 times higher than 
                    it would ordinarily (naturally) indicate with no special 
                    accommodations. It must be stressed that this "cheat" only 
                    works well when the meter is used to measure pure sine wave 
                    sources. Note that for triangle waves, the ratio between RMS 
                    and Average is not the same as for sine waves:  
                      With square waves, the RMS and Average 
                    values are identical! An AC meter calibrated to accurately 
                    read RMS voltage or current on a pure sine wave will not 
                    give the proper value while indicating the magnitude of 
                    anything other than a perfect sine wave. This includes 
                    triangle waves, square waves, or any kind of distorted sine 
                    wave. With harmonics becoming an ever-present phenomenon in 
                    large AC power systems, this matter of accurate RMS 
                    measurement is no small matter.  The astute reader will note that I have 
                    omitted the CRT "movement" from the RMS/Average discussion. 
                    This is because a CRT with its practically weightless 
                    electron beam "movement" displays the Peak (or Peak-to-Peak 
                    if you wish) of an AC waveform rather than Average or RMS. 
                    Still, a similar problem arises: how do you determine the 
                    RMS value of a waveform from it? Conversion factors between 
                    Peak and RMS only hold so long as the waveform falls neatly 
                    into a known category of shape (sine, triangle, and square 
                    are the only examples with Peak/RMS/Average conversion 
                    factors given here!).  One answer is to design the meter movement 
                    around the very definition of RMS: the effective heating 
                    value of an AC voltage/current as it powers a resistive 
                    load. Suppose that the AC source to be measured is connected 
                    across a resistor of known value, and the heat output of 
                    that resistor is measured with a device like a thermocouple. 
                    This would provide a far more direct measurement means of 
                    RMS than any conversion factor could, for it will work with 
                    ANY waveform shape whatsoever:  
                      While the device shown above is somewhat 
                    crude and would suffer from unique engineering problems of 
                    its own, the concept illustrated is very sound. The resistor 
                    converts the AC voltage or current quantity into a thermal 
                    (heat) quantity, effectively squaring the values in 
                    real-time. The system's mass works to average these values 
                    by the principle of thermal inertia, and then the meter 
                    scale itself is calibrated to give an indication based on 
                    the square-root of the thermal measurement: perfect 
                    Root-Mean-Square indication all in one device! In fact, one 
                    major instrument manufacturer has implemented this technique 
                    into its high-end line of handheld electronic multimeters 
                    for "true-RMS" capability.  Calibrating AC voltmeters and ammeters for 
                    different full-scale ranges of operation is much the same as 
                    with DC instruments: series "multiplier" resistors are used 
                    to give voltmeter movements higher range, and parallel 
                    "shunt" resistors are used to allow ammeter movements to 
                    measure currents beyond their natural range. However, we are 
                    not limited to these techniques as we were with DC: because 
                    we can to use transformers with AC, meter ranges can be 
                    electromagnetically rather than resistively "stepped up" or 
                    "stepped down," sometimes far beyond what resistors would 
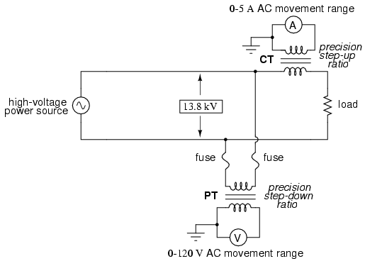
                    have practically allowed for. Potential Transformers (PT's) 
                    and Current Transformers (CT's) are precision instrument 
                    devices manufactured to produce very precise ratios of 
                    transformation between primary and secondary windings. They 
                    can allow small, simple AC meter movements to indicate 
                    extremely high voltages and currents in power systems with 
                    accuracy and complete electrical isolation (something 
                    multiplier and shunt resistors could never do):  
                      Shown here is a voltage and current meter 
                    panel from a three-phase AC system. The three "donut" 
                    current transformers (CTs) can be seen in the rear of the 
                    panel. Three AC ammeters (rated 5 amps full-scale deflection 
                    each) on the front of the panel indicate current through 
                    each conductor going through a CT. As this panel has been 
                    removed from service, there are no current-carrying 
                    conductors threaded through the center of the CT "donuts" 
                    anymore:   
 Because of the expense (and often large 
                    size) of instrument transformers, they are not used to scale 
                    AC meters for any applications other than high voltage and 
                    high current. For scaling a milliamp or microamp movement to 
                    a range of 120 volts or 5 amps, normal precision resistors 
                    (multipliers and shunts) are used, just as with DC.  
                      
                      REVIEW: 
                      Polarized (DC) meter movements must use 
                      devices called diodes to be able to indicate AC 
                      quantities. 
                      Electromechanical meter movements, whether 
                      electromagnetic or electrostatic, naturally provide the 
                      average value of a measured AC quantity. These 
                      instruments may be ranged to indicate RMS value, but only 
                      if the shape of the AC waveform is precisely known 
                      beforehand! 
                      So-called true RMS meters use 
                      different technology to provide indications representing 
                      the actual RMS (rather than skewed average or peak) of an 
                      AC waveform.  |