Home | Schematics | Products | Tutorials | Datasheets | Robotics | Download | Link Exchange
� Direct Current � Alternating Current � Digital Electronics � PC Architecture � Electronics Dictionary � Resources
1. Rules for limits
2. Derivative of a constant
3. Common derivatives
4. Derivatives of power functions of e
5. Trigonometric derivatives
6. Rules for derivatives
7. The antiderivative (Indefinite integral)
8. Common antiderivatives
9. Antiderivatives of power functions of e
10. Rules for antiderivatives
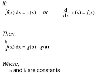
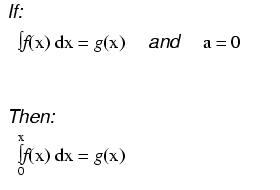
11. Definite integrals and the fundamental theorem of calculus
12. Differential equations
Electronics Symentics
Back Home Chapter Index
Home Products Tutorials Schematics Robotics Resources Radio Stuff Career Download Link Exchange HTML Sitemap XML Sitemap Terms & Conditions Privacy Policy and Disclaimer
Terms & Conditions Privacy Policy and Disclaimer