Home | Schematics | Products | Tutorials | Datasheets | Robotics | Download | Link Exchange
� Direct Current � Alternating Current � Digital Electronics � PC Architecture � Electronics Dictionary � Resources
1. Rules for limits
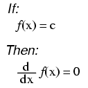
2. Derivative of a constant
3. Common derivatives
4. Derivatives of power functions of e
5. Trigonometric derivatives
6. Rules for derivatives
7. The antiderivative (Indefinite integral)
8. Common antiderivatives
9. Antiderivatives of power functions of e
10. Rules for antiderivatives
11. Definite integrals and the fundamental theorem of calculus
12. Differential equations
Electronics Symentics
Back Home Chapter Index
("c" being a constant)
Home Products Tutorials Schematics Robotics Resources Radio Stuff Career Download Link Exchange HTML Sitemap XML Sitemap Terms & Conditions Privacy Policy and Disclaimer
Terms & Conditions Privacy Policy and Disclaimer