| The antiderivative (Indefinite 
                    integral)
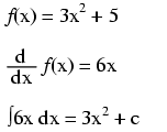
                      Notice something important here: taking the 
                    derivative of f(x) may precisely give you g(x), but taking 
                    the antiderivative of g(x) does not necessarily give you f(x) 
                    in its original form. Example:  
                      Note that the constant c is unknown! The 
                    original function f(x) could have been 3x2 + 5, 
                    3x2 + 10, 3x2 + anything, and 
                    the derivative of f(x) would have still been 6x. Determining 
                    the antiderivative of a function, then, is a bit less 
                    certain than determining the derivative of a function.  |